(a+b)の3乗の図形的イメージ


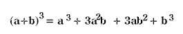
(a+b)の3乗の展開を図形的にイメージすると,下図のように、
8つのブロック(項)で出来ていることが分かります。
それらのいくつかは、同じもの(同類項)です。
この図から,同類項を整理してみてください。



【動画情報】
このアニメーションは5秒間休止しながら、繰り返します。